近日,我院陈兴栋团队与公卫学院张铁军课题组的合作研究以“Machine learning-based plasma metabolomic profiles for predicting long-term complications of cirrhosis”为题发表于美国肝病学会(AASLD)会刊Hepatology。

据全球疾病负担研究估计,每年可归因于慢性肝病的死亡数超过100万,其中大多数死亡继发于肝硬化并发症。当前,慢性肝病的临床关注点主要集中于肝硬化及其并发症阶段,而早期可逆性的疾病阶段往往被忽略,从而导致患者错过最佳干预时期。因此,运用有效的非侵入性手段促进慢性肝病高危人群的早期识别与风险分层是实现肝硬化并发症精准预防的关键。
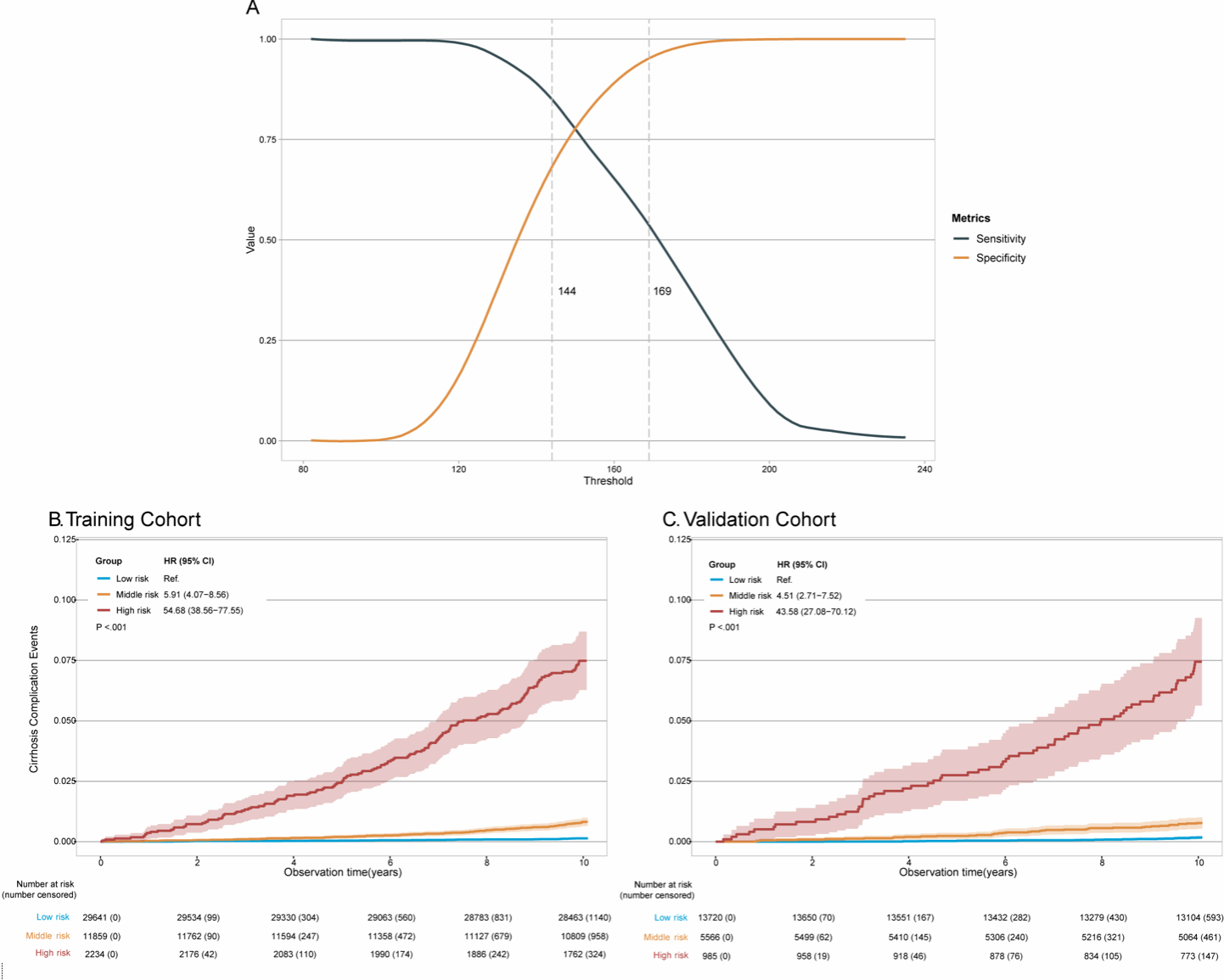
本研究以英国生物学银行中64005名未患有肝硬化并发症的社区人群作为研究对象,在训练队列中构建了基于梯度提升算法的代谢状态模型(图1),并与基因风险评分及传统临床评分等进行比较;同时整合代谢状态、人口统计学变量以及实验室检测变量,以构建易于解释的列线图模型,并基于双截断值法实现肝硬化并发症的人群风险分层。模型的预测能力于验证队列中进行独立评估。

图1. 可解释框架下的代谢状态模型及其性能
研究发现,脂质代谢物及铁死亡相关代谢物能够精准预测肝硬化并发症的发病风险。其中,代谢状态模型可以准确地预测10年肝硬化并发症的发生风险,模型的曲线下面积(AUC)为0.84,优于基因风险评分(AUC差值 0.25)与FIB-4评分(AUC差值0.06)。整合代谢状态的列线图模型在验证队列中的3年AUC为0.930,5年AUC为0.889,10年AUC为0.861。风险分层后高危组人群与低危组人群的风险比为43.58(95% CI 27.08-70.12)(图2)。

图2. 列线图模型风险分层后的表现
综上,本研究基于血浆代谢组学和机器学习模型,开发了用于捕获处于沉默进展期的肝硬化并发症高危患者的预测工具,不仅揭示了代谢组学在肝病预防方面的巨大潜力,同时,对肝硬化并发症高危人群的筛查及其精准预防具有重要意义。上海市重大传染病和生物安全研究院博士生郭城楠与我院刘振球青年研究员为论文的共同第一作者,张铁军教授与陈兴栋研究员为该论文的共同通讯作者。该研究得到了国家自然科学基金(82204125; 81772170),国家重点研发计划项目(2022YFC3400700)以及科技基础研究专项基金(2019FY101103)的资助。
我院陈兴栋/刘振球课题组长期致力于慢性肝脏疾病的分子与遗传流行病学研究,近年来在Gut、Journal of Hepatology、Hepatology、Clinical Gastroenterology and Hepatology、Metabolism、BMC Medicine、International Journal of Epidemiology等权威期刊发表多篇肝病相关研究成果,欢迎流行病学、生物统计学、计算生物学、遗传学等相关专业学生报考。
文章链接:https://journals.lww.com/hep/abstract/9900/machine_learning_based_plasma_metabolomic_profiles.850.aspx





